Na segunda parte da nossa matéria sobre perdas pós-colheita, a Profa. Solenir Ruffato fala sobre Motivos de perdas na pós-colheita. O que poderia ser feito para diminuir as perdas e quais os custos para reduzir essas perdas, quanto se evoluiu na redução de perdas de onde podemos chegar.
Leia: Perdas pós-colheita de grãos no Brasil (Parte 1)
Motivos de perdas na pós-colheita
Transporte curto – ou seja, da lavoura até a unidade armazenadora, na fazenda ou em uma unidade coletora, sendo a primeira etapa pós-colheita. Quando a unidade armazenadora é na fazenda, próximo ao campo de produção, as perdas são menores. Isso pelo fato de que ao ser transportado até a unidade armazenadora pode haver perdas em função do derramamento pelo tráfego numa via em condição inapropriada ao deslocamento de veículos pesados, pelo enlonamento feito às pressas, falta de vedação das carrocerias, excesso de carga.
Além disso, a condição em que o grão se encontra (alta umidade) já seria o suficiente para justificar o grande problema que é a falta de unidades próximas à lavoura.
O grão com alto teor de água apresenta elevado metabolismo o que faz com que sua respiração ocorra de forma acelerada, liberando água e calor, o que em poucas horas pode gerar processos de alta incidência fúngica, causando mofo e ardência nos grãos, além da própria fermentação decorrente da elevada temperatura e umidade.
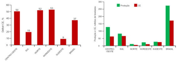
Unidade armazenadora – as principais perdas são principalmente em decorrência do déficit de capacidade estática, que no Brasil está em torno de 37%, sendo mais crítico nos estados com expansão de áreas de produção a exemplo do Centro-Oeste, Norte e Nordeste cujo percentual é acima de 50%.

Figura 1: Déficit de capacidade estática de armazenagem (CE) por região (1a); produção e capacidade estática por região (1b).
Fonte: CONAB (abril, 2021), adaptado pelo autor.
Só o estado de Mato Grosso apresentará um déficit de armazenagem de 37,3 milhões de toneladas das 75,9 que serão produzidas em 2020/21. Mesmo com déficit em milhões de toneladas menor, outros estados tem indicando um problema crescente e que merece atenção e planejamento para instalação de infraestrutura, como é o caso de Mato Grosso do Sul e Goiás, dos estados que compõem a região denominada “MATOPIBA”
A falta de espaço para guardar a produção pode acarretar operações feitas de maneira acelerada, muitas vezes não atendendo os aspectos técnicos necessário, longas filas e tempo para descarga.
Transporte longo – Há também as perdas no transporte da unidade armazenadora até o porto ou então até uma unidade terminal no caso de indústria de processamento de grãos. Neste caso o grande problema hoje no Brasil é com relação a deficiência da malha rodoviária, a exemplo da região Norte de Mato Grosso (maior produtora de grãos) a única via de escoamento da produção de grãos é a BR 163
Frotas antigas ou carretas sem vedação são também grandes fontes de perdas.
Pré-processamento (limpeza e secagem) e armazenamento – Sendo consideradas as etapas que mais contribuem para as perdas na pós-colheita, de certa forma, são reféns de todos os problemas já citados e do bom funcionamento dos equipamentos e sistemas para conservação da qualidade dos grãos.
Podem ser considerados como os principais pontos ou atividades que causam perdas qualitativas e quantitativas na unidade armazenadora:
- baixo fluxo de limpeza e secagem;
- pré-limpeza incompleta dos grãos;
- alta temperatura de secagem;
- problemas de aeração (manejo, projeto ou condições climáticas desfavoráveis);
- uso de transportadores que causam danos (exemplo: roscas e elevadores com canecas metálicas);
- movimentação excessiva do grão;
- transilagem, falta de higienização nas instalações;
- não realização de controle integrado de pragas;
- operadores não treinados e falta de profissionais da área.
Com relação ao processo de aeração que é a técnica mais utilizada para conservação, pode-se exemplificar duas situações de difícil controle:
- Em época de período chuvoso, quando a umidade relativa do ar que será insuflado na massa de grãos para seu resfriamento é alta, a probabilidade é a de que os grãos reumedeçam, principalmente nas camadas inferiores dos silos ou graneleiros.
- Em período de estação seca, com umidade relativa do ar a ser utilizado no processo de aeração baixa, pelo fato de os grãos, por possuírem pressão de vapor inferior ao ar de aeração tenderão a perder umidade, ou seja, perda de massa de água, causando quebra técnica.
Estas situações são bem características das regiões centrais do Brasil, principalmente no estado de Mato Grosso que apresenta essas duas estações distintas, a chuvosa e a seca, ambas com temperaturas elevadas.

Silo particular de produtor no estado de São Paulo
O que poderia ser feito para diminuir as perdas e quais os custos para reduzir essas perdas
É necessário conscientização de todos os envolvidos na cadeia, produtores, armazenistas, setor de transporte e governo devem atuar conjuntamente para que os índices de perdas possam ser reduzidos.
Estudos para melhor aplicação de estruturas de armazenagem alternativas devem ser discutidos seriamente, pois não há como a pós-colheita acompanhar o campo a ponto de suprir o déficit de capacidade estática pela instalação de unidades armazenadoras permanentes.
Outro ponto, batido, porém não resolvido, que contribuiria é o de que houvesse efetivação da expansão e melhoria da rede logística de escoamento de grãos no Brasil, como investimentos em ferrovias, e expansão e pavimentação adequada do modal rodoviário; intensificar a fiscalização no transporte das cargas, e investimentos em melhorias da frota de transporte.
Construir unidades armazenadoras, principalmente em nível de fazenda apresenta custos elevados, ainda mais se considerado o aumento no preço do aço ocorrido neste último ano. Neste sentido, em havendo expansão dos programas de governo para infraestrutura de armazenagem, incentivaria os produtores a instalar unidades armazenadoras junto a unidade de produção.
Sobre custos, estes são relativos a cada operação (transporte, armazenagem) porém com certeza elevados.
Estimativas apontam investimentos somente no setor logístico de transporte bem acima de 60 bilhões de reais, mas falar em números em tempos de instabilidades decorrentes de uma pandemia é algo difícil e impreciso.
Quanto se evoluiu na redução de perdas e onde podemos chegar
Unidades armazenadoras mais modernas é uma realidade que vem acontecendo. Hoje se fala em armazenagem 4.0, com automação de processos, que contribuem de maneira importante para a redução das perdas.
Outra questão de tecnologia bem importante e emergente é a solução da questão energética. Há uma prática disponível no mercado, em que é feito o resfriamento artificial do grão pelo condicionamento do ar ambiente, reduzindo a temperatura e com controle da umidade. Este processo promove o resfriamento da massa de grãos para temperaturas abaixo do que seria possível pelo sistema de aeração com insuflação do ar externo por meio de ventiladores. A interferência das condições externas ocorre em pequenas camadas da massa de grãos próxima as paredes, o restante da massa permanece na condição em que foi condicionada inicialmente.
Estes sistemas de condicionamento do ar consomem muita energia, elevando os custos, porém, em muitas unidades e propriedades agrícolas têm sido instaladas unidades de produção de energia solar, o que resolve por completo a dificuldade em se utilizar sistemas mais modernos de conservação.
A possibilidade de condicionamento do ar para as condições ideais de armazenagem dos grãos, de forma a mantê-lo em níveis comerciais estabelecidos, e em temperaturas menores, seja em sistemas abertos ou cíclicos, é um dos grandes avanços no que se refere a conservação da qualidade.
